ACST
  • E-learning
  • Espace Formation
  • Espace Adhérent
Travaillons ensemble pour préserver votre capital santé
Suivi individuel renforcé [SIR]
  • Qui sommes-nous
    • Historique
    • Organisation 
      • Conseil d’administration
      • Commission de contrôle
      • Assemblée générale
      • Commission médicotechnique
    • Missions
    • Offre socle de service
    • Offre spécifique – travailleurs indépendants
    • Moyens 
      • Notre équipe
      • Notre réseau
    • Nos adhérents
  • Actualités
  • Où nous trouver
    • Nos centres médicaux 
      • Bischheim
      • Illkirch-Graffenstaden
      • Mundolsheim
      • Schiltigheim
      • Strasbourg – Étoile
      • Strasbourg – Faubourg de Saverne
      • Strasbourg – Hautepierre
      • Lingolsheim – Rue du Périgord
      • Strasbourg – Route de Schirmeck
    • Service prévention et formation
    • Siège social
  • Nos compétences
    • Nos actions de terrain 
      • Analyse de risques
      • Ergonomie
      • Risques physiques
      • Risques chimiques
      • Risques psycho-sociaux
    • Nos sensibilisations 
      • Sensibilisations E-learning
      • Sensibilisation aux gestes de premiers secours
      • Travail sur écran
      • Manutention
      • Bruit
      • Atelier d’accompagnement à la réalisation du DUERP
    • Le suivi individuel 
      • Suivi individuel renforcé
      • Suivi individuel simple
      • Visite de pré-reprise
      • Visite de reprise
      • Visite à la demande
      • Prévention de la désinsertion professionnelle
      • Examens complémentaires
      • Vaccination
      • Permanence sociale
  • Comment adhérer
    • Conditions d’adhésion
    • Que couvre l’adhésion ?
    • Adhérer à notre service
    • Offre spécifique – travailleurs indépendants
  • Espace entreprise
    • Documentation 
      • Fiches étude
      • Fiches ACST
      • Flyers
    • Vos questions
    • Instance Représentative du Personnel (IRP)
    • Liens utiles
    • Nos webinaires
    • Nos dernières communications
    • Documents administratifs
  • Recrutement

2

Published 7 novembre 2025 at 1414 × 2000 in Suivi individuel renforcé [SIR]
← Previous
Next →
Both comments and trackbacks are currently closed.

Actualités

  • Déclaration Obligatoire des effectifs 2026

    Actualités

    Déclaration Obligatoire des effectifs 2026

    > En savoir plus...
  • Travailler dans le froid

    Actualités

    Travailler dans le froid

    > En savoir plus...
  • Déménagement centre Lingolsheim

    Actualités

    Déménagement centre Lingolsheim

    > En savoir plus...
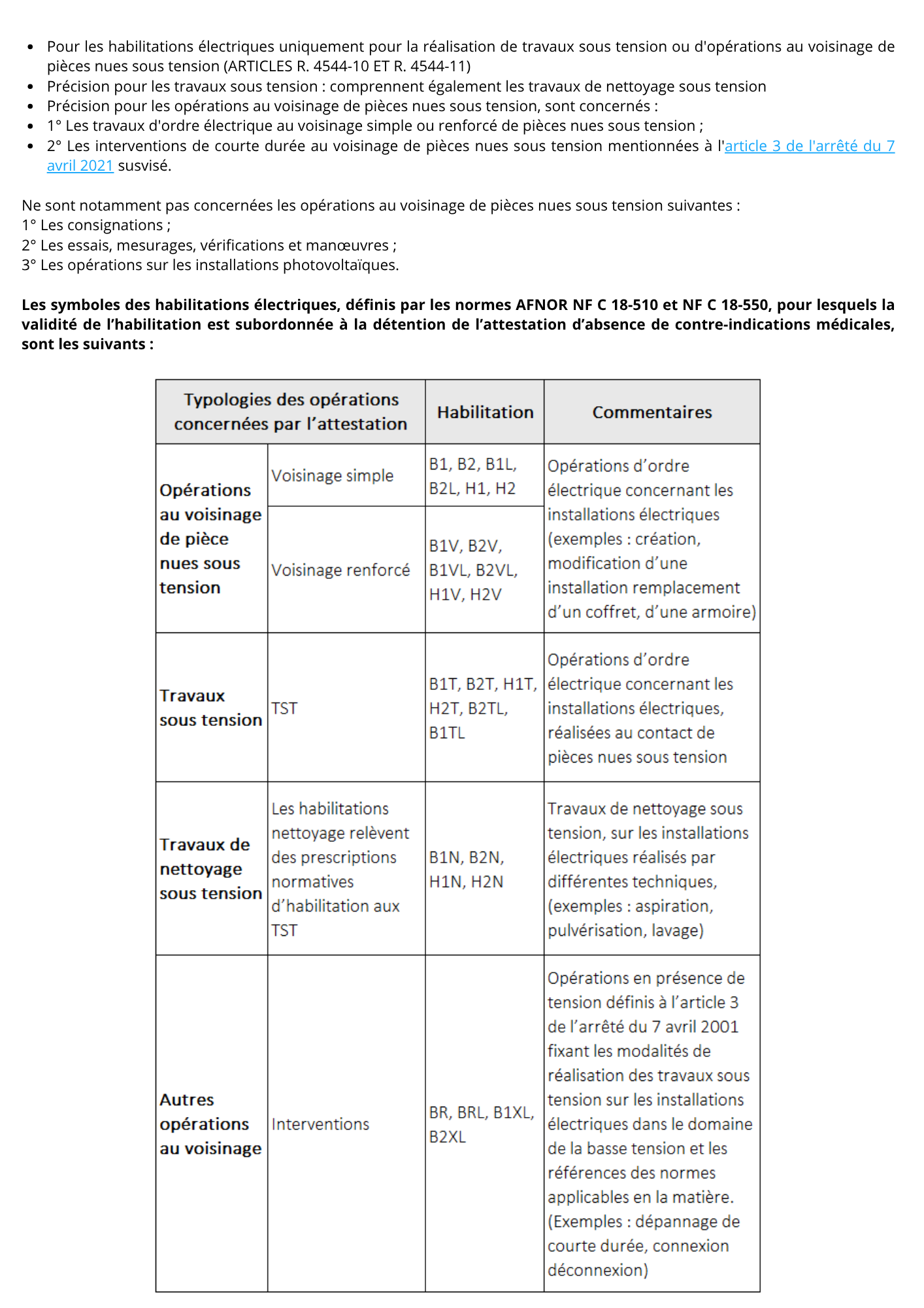
  • Suivi individuel renforcé [SIR]

    Actualités

    Suivi individuel renforcé [SIR]

    > En savoir plus...
  • APPEL À LA PRUDENCE

    Actualités

    APPEL À LA PRUDENCE

    > En savoir plus...
  • Journée mondiale sans tabac

    Actualités

    Journée mondiale sans tabac

    > En savoir plus...
  • Journée nationale de l'audition 2024

    Actualités

    Journée nationale de l'audition 2024

    > En savoir plus...
  • Travailler dans le froid - Les bons reflexes

    Actualités

    Travailler dans le froid - Les bons reflexes

    > En savoir plus...
  • Journée internationale des personnes handicapées 2023

    Actualités

    Journée internationale des personnes handicapées 2023

    > En savoir plus...
  • Journée Internationale de la colonne vertébrale - 2023

    Actualités

    Journée Internationale de la colonne vertébrale - 2023

    > En savoir plus...
  • Ouverture d'un nouveau centre médical faubourg de Saverne à Strasbourg !

    Actualités

    Ouverture d'un nouveau centre médical faubourg de Saverne à Strasbourg !

    > En savoir plus...
  • Journée Internationale de la sécurité et de la santé au travail

    Actualités

    Journée Internationale de la sécurité et de la santé au travail

    > En savoir plus...
  • Nouvelles Fiches ACST !

    Actualités

    Nouvelles Fiches ACST !

    > En savoir plus...
  • La méningite vient jouer les troubles-fêtes

    Actualités

    La méningite vient jouer les troubles-fêtes

    > En savoir plus...
  • C’est la Semaine Européenne pour l’Emploi des Personnes en situation de Handicap !

    Actualités

    C’est la Semaine Européenne pour l’Emploi des Personnes en situation de Handicap !

    > En savoir plus...
  • Actualités

    L'accès à votre espace adhérent évolue

    > En savoir plus...
  • Actu Septembre 2022 : sensibilisations aux gestes de premiers secours

    Actualités

    Actu Septembre 2022 : sensibilisations aux gestes de premiers secours

    > En savoir plus...
  • Forum 2022 - La prévention de la tête au pied !

    Actualités

    Forum 2022 - La prévention de la tête au pied !

    > En savoir plus...
  • Visites de reprise - Ce qui change au 1er avril 2022

    Actualités

    Visites de reprise - Ce qui change au 1er avril 2022

    > En savoir plus...
  • Nouveau Siège Social ACST

    Actualités

    Nouveau Siège Social ACST

    > En savoir plus...

Centres

  • Centre médical de Bischheim

    Nos centres médicaux

    Bischheim
  • Mundolsheim 4

    Nos centres médicaux

    Mundolsheim
  • Schiltigheim

    Nos centres médicaux

    Schiltigheim
  • Strasbourg – Hautepierre 1

    Nos centres médicaux

    Hautepierre
  • Strasbourg – route de Schirmeck 3

    Nos centres médicaux

    Route de Schirmeck
  • Strasbourg - Étoile

    Nos centres médicaux

    Étoile
  • Strasbourg - Faubourg de Saverne

    Nos centres médicaux

    Faubourg de Saverne
  • Illkirch

    Nos centres médicaux

    Illkirch

Chiffres clés

  • Chiffres clés

    24 binômes médecin - secrétaire répartis sur 9 sites
  • Chiffres clés

    1 formatrice, 1 technicienne métrologie, 1 ergonome et 1 ingénieur prévention
  • Chiffres clés

    50 000 salariés et 4 000 entreprises suivis
  • Chiffres clés

    40 % des salariés suivis travaillent dans des entreprises > 50 salariés
  • Chiffres clés

    74 % des entreprises suivies sont des TPE
  • Chiffres clés

    Les salariés suivis : 251 métiers différents
  • Chiffres clés

    Les entreprises adhérentes : 433 activités différentes
  • Chiffres clés

    Restauration : 300 entreprises et 2 700 salariés
  • Chiffres clés

    Super & hypermarchés : 2 000 salariés pour 23 entreprises
  • Chiffres clés

    Transport : 1 800 salariés pour 80 entreprises
  • Chiffres clés

    Coiffure : 140 salons et 500 salariés

Services supports

  • Hoenheim 1

    Nos services supports

    Service prévention et formation
  • Illkirch - Siège social

    Nos services supports

    Siège social

Nos formations

  • Customer Service Representative Using Multiple Screens

    Nos formations

    Travail sur écran - santé et ergonomie
  • Nos formations

    Connaître et prévenir les risques liés à la manutention
  • Nos formations

    Information sur les risques liés au bruit
 
  • Accueil
  • Mentions légales
  • Politique de confidentialité
  • Plan du site
  • Contact
Association Conseil en Santé au Travail
  • Qui sommes-nous
  • Actualités
  • Où nous trouver
  • Nos compétences
  • Comment adhérer
  • Espace entreprise
  • Recrutement